お申し込み
会員登録はこちらのフォームよりお申し込みください。
ご注文や各種機能をご利用いただけます。
お知らせ
製品を
探す
書類を
ダウンロード
ログオン
カート
初めてご利用される方へ
よくあるご質問
お問い合わせ
English
製品詳細
印刷する
製品一覧へ戻る
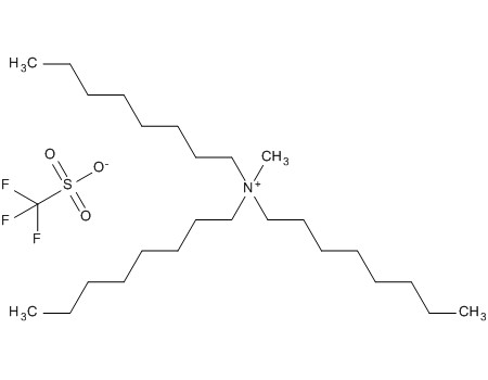
メチルトリオクチルアンモニウムトリフラート
Methyltrioctylammonium triflate
製品番号
49516-87
純度
99%
包装
25g
CAS RN
121107-18-4
法規
メーカー名/メーカー型番
IoLiTec GmbH/IL-0118-HP
分子量
517.77
分子式
C
2
6
H
5
4
F
3
NO
3
S
物性
mp 55℃
▲
(△/規格値 ▲/平均実績 †/文献値)
通常納期リードタイム
お問い合わせください
価格
¥58,000
在庫
非在庫
MY製品登録
カートに追加
※価格は税抜きです。
試験成績書
SDS
規格書