Cica-Web 関東化学株式会社

お申し込み

会員登録はこちらのフォームよりお申し込みください。
ご注文や各種機能をご利用いただけます。

製品詳細

製品一覧へ戻る

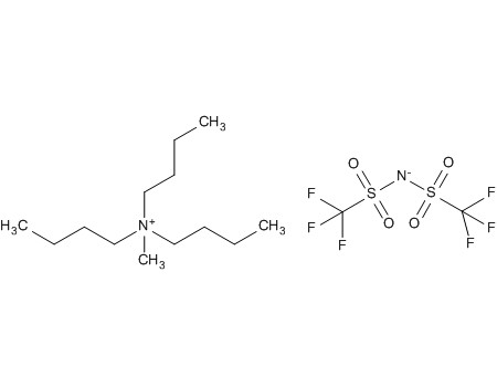
トリブチルメチルアンモニウムビス(トリフルオロメチルスルホニル)イミド

Tributylmethylammonium bis(trifluoromethylsulfonyl)imide

製品番号 49516-83
純度 99%
包装 25g
CAS RN 405514-94-5
法規
メーカー名/メーカー型番 IoLiTec GmbH/IL-0117-HP
  
分子量 480.54
分子式 C15H30F6N2O4S2
通常納期リードタイム お問い合わせください
構造式画像
価格 ¥43,000
在庫  非在庫
カートに追加

※価格は税抜きです。

試験成績書 SDS 規格書