お申し込み
会員登録はこちらのフォームよりお申し込みください。
ご注文や各種機能をご利用いただけます。
お知らせ
製品を
探す
書類を
ダウンロード
ログオン
カート
初めてご利用される方へ
よくあるご質問
お問い合わせ
English
製品詳細
印刷する
製品一覧へ戻る
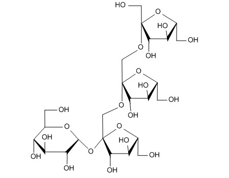
イヌリン
Inulin
製品番号
20102-30
規格
鹿特級
包装
25g
CAS RN
9005-80-5
法規
分子式
(C
6
H
1
0
O
5
)
n
通常納期リードタイム
お問い合わせください
価格
¥13,500
在庫
ご照会
MY製品登録
カートに追加
※価格は税抜きです。
試験成績書
SDS
規格書
ダウンロード
JP
EN
JP
EN