Product
Information
Download
Japanese
Detailed information
Print
Return
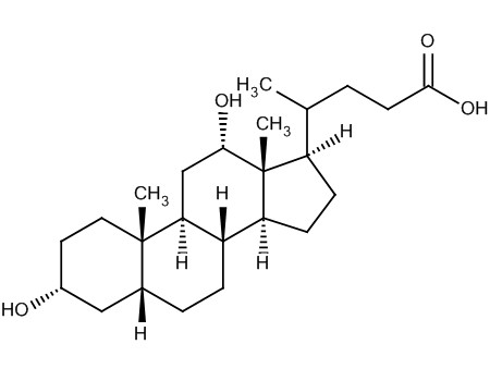
Deoxycholic acid
Product No.
14814-2A
Package
100g
CAS RN
83-44-3
Supplier/Supplier product No.
Thermo Fisher Scientific Inc./14814-1000
Formula weight
392.57
Formula
C
2
4
H
4
0
O
4
Physical properties
mp 172℃~178℃
▲
(△/Specification ▲/Average result †/Literature)
Price
¥22,600
Stock
non-stocked
w/o tax
CoA
SDS
Specification
Download