お申し込み
会員登録はこちらのフォームよりお申し込みください。
ご注文や各種機能をご利用いただけます。
お知らせ
製品を
探す
書類を
ダウンロード
ログオン
カート
初めてご利用される方へ
よくあるご質問
お問い合わせ
English
製品詳細
印刷する
製品一覧へ戻る
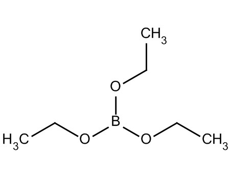
トリエトキシボラン
Triethoxyborane
製品番号
13958-1A
包装
250mL
製品情報
CAS RN
150-46-9
法規
消防法:危険物第4類第一石油類非水溶性液体
安衛法:第57条 名称等を表示すべき危険物及び有害物(表示対象物)
安衛法:第57条の2 名称等を通知すべき危険物及び有害物(通知対象物)
化管法:第一種指定化学物質(1-458 (405))
メーカー名/メーカー型番
Thermo Fisher Scientific Inc./13958-2500
特記事項
moisture/heat sensitive
別名
Triethyl borate
トリエチルボラート(ほう酸トリエチル)
分子量
146.00
分子式
(C
2
H
5
O)
3
B
物性
Fp 11.1℃
†
bp 118℃~120℃
†
mp -84.5℃
†
d 0.850
†
(△/規格値 ▲/平均実績 †/文献値)
形状
無色,液体
▲
既存化学物質
2-2101
UN番号
1176
通常納期リードタイム
お問い合わせください
価格
¥15,800
在庫
非在庫
MY製品登録
カートに追加
※価格は税抜きです。
試験成績書
SDS
規格書