Cica-Web 関東化学株式会社

お申し込み

会員登録はこちらのフォームよりお申し込みください。
ご注文や各種機能をご利用いただけます。

製品詳細

製品一覧へ戻る

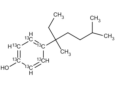
4-(3,6-ジメチル-3-ヘプチル)フェノール-13C6標準液

4-(3,6-Dimethyl-3-heptyl)phenol-13C6 standard solution

製品番号 10773-96
規格 環境分析用
包装 2mL
製品情報

冷蔵保存 0℃~6℃

CAS RN 1173020-38-6
法規 消防法:危険物第4類第一石油類水溶性液体
安衛法:第57条 名称等を表示すべき危険物及び有害物(表示対象物)
安衛法:第57条の2 名称等を通知すべき危険物及び有害物(通知対象物)
安衛法:有機溶剤中毒予防規則第二種有機溶剤該当品目
麻薬及び向精神薬取締法:麻薬向精神薬原料
関連情報 添付文書
  
特記事項 10mg/L アセトン溶液.
分子量 226.31
分子式 13C6C9H24O
UN番号 1090
通常納期リードタイム 3営業日
構造式画像
価格 ¥29,000
在庫  50≦
カートに追加

※価格は税抜きです。

試験成績書 SDS 規格書
ダウンロード JP EN JP EN