Cica-Web 関東化学株式会社

お申し込み

会員登録はこちらのフォームよりお申し込みください。
ご注文や各種機能をご利用いただけます。

製品詳細

製品一覧へ戻る

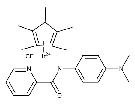
クロロ[N-[4-(ジメチルアミノ)フェニル]-2-ピリジンカルボキシアミデート](ペンタメチルシクロペンタジエニル)イリジウム(III)

Chloro[N-[4-(dimethylamino)phenyl]-2-pyridinecarboxamidato](pentamethylcyclopentadienyl)iridium(III)

製品番号 07127-68
規格 Organics
純度 >95.0%(Ir含量)
包装 100mg
CAS RN 1364328-83-5
法規
  
別名 Cp*IrCl(Dap-picolinamidato)
分子量 603.17
分子式 C24H29ClN3OIr
形状 赤褐色,粉末又は結晶性粉末
通常納期リードタイム 3営業日
構造式画像
価格 ¥25,500
在庫  10≦
カートに追加

※価格は税抜きです。

試験成績書 SDS 規格書
ダウンロード JP EN JP EN