Cica-Web 関東化学株式会社

お申し込み

会員登録はこちらのフォームよりお申し込みください。
ご注文や各種機能をご利用いただけます。

製品詳細

製品一覧へ戻る

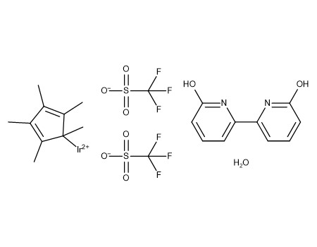
アクア(6,6'-ジヒドロキシ-2,2'-ビピリジン)(ペンタメチルシクロペンタジエニル)イリジウム(III)ビス(トリフラート)

Aqua(6,6'-dihydroxy-2,2'-bipyridine)(pentamethylcyclopentadienyl)iridium(III) bis(triflate)

製品番号 01062-68
規格 Organics
純度 >94.0%
包装 100mg
製品情報

冷蔵保存 0℃~6℃

CAS RN 1360870-69-4
法規
  
分子量 831.78
分子式 C22H25F6IrN2O9S2
形状 黄,粉末
通常納期リードタイム 3営業日
構造式画像
価格 ¥27,000
在庫  20≦
カートに追加

※価格は税抜きです。

試験成績書 SDS 規格書
ダウンロード JP EN